ads/auto.txt

Tabel Persebaran Barang Tambang Di Indonesia

Persebaran Barang Tambang Di Indonesia Geoenviron

Persebaran Barang Tambang Di Indonesia Geoenviron

Infografis Persebaran Barang Tambang Nonlogam Di Indonesia

Infografis Persebaran Barang Tambang Nonlogam Di Indonesia

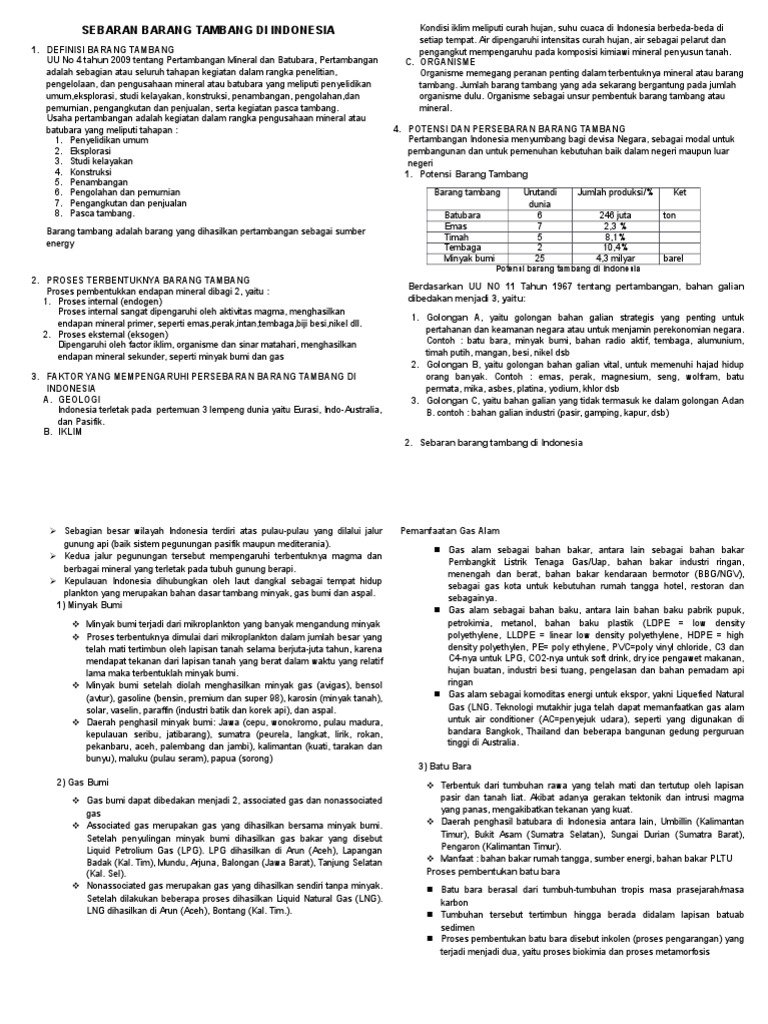
Sebaran Barang Tambang Di Indonesia

Sebaran Barang Tambang Di Indonesia

Peta Persebaran Bahan Tambang Di Indonesia

Peta Persebaran Bahan Tambang Di Indonesia

Persebaran Barang Tambang Aspal Di Indonesia Sma N 7 Yk

Persebaran Barang Tambang Aspal Di Indonesia Sma N 7 Yk

Persebaran Barang Tambang Di Indonesia By Liszy Mumtaz On Prezi Next

Persebaran Barang Tambang Di Indonesia By Liszy Mumtaz On Prezi Next

Persebaran Barang Tambang Di Indonesia By Liszy Mumtaz On Prezi Next

Minyak bumi dan gas minyak bumi dan gas merupakan sumber energi utama yang saat ini banyak dipakai untuk.

Tabel persebaran barang tambang di indonesia. Potensi dan persebaran barang taang spendidikan potensi dan persebaran barang taang setelah mempelajari bahasan ini kalian akan mengetahui potensi indonesia terhadap pemanfaatan bahan taang di wilayahnya. Mengapa persebaran barang tambang indonesia tidak merata. Emas antara lain ditambang di daerah jawa barat cikotok dan. Tabel persebaran hasil tambang di indonesia by sbm company on december 15 2012.

Potensi barang tambang di indonesia ips kelas 7 semester 1 bab 1 sumber daya alam sumber daya alam dan pemanfaatannya kelas 4 sd barang tambang barang tambang dan manfaatnya barang tambang di. Di indonesia sendiri terdapat beberapa tampat atau daerah yang mempunyai tambang gas alam baca. Masuk jurusan pertambangan tabel persebaran barang tambang di indonesia tahapan penambangan teknik pertambangan terbaik di indonesia 2018 teknik pertambangan upn teknik pertambangan upn jogja tujuan pertambangan uu minerba terbaru. Iklim di indonesia tidak.

Barang tambang golongan b a. Peta persebaran hasil taang. Dengan adanya persebaran barang tambang di indonesia ini kita dapat mengetahui letak tempat di mana barang tambang itu berada serta daya gunanya unknown 4 september 2014 20 30. Setiap daerah memiliki potensi masing masing sesuai dengan kondisi alamnya.

Solusi untuk meningkatkan produsen di indonesia by sbm company on december 15 2012. 17 jenis jenis barang tambang dan penjelasannya ini merupakan barang tambang di indonesia seperti minyak bumi gas alam emas batu bara dll jenis jenis barang tambang negara indonesia merupakan negara yang sangat besar baca. Gambar hasil tambang indonesia di peta nov 25 2014 peta persebaran hasil dai tambang di indonesia klik untuk memperbesar gambar peta a. Semua daerah yang menyimpan kekayaan alam terlebih kekayaan dari dalam bumi yang mana sangat dibutuhkan oleh banyak pasti daerah tersebut dilindungi pemerintah.

Berdasarkan data tekmira esdm produksi emas indonesia pada tahun 2003 mencapai 141 019 ton.

Persebaran Barang Tambang Di Indonesia

Persebaran Barang Tambang Di Indonesia

Persebaran Barang Tambang Geografi

Persebaran Barang Tambang Geografi

Metode Penambangan Achmadin Blog

Metode Penambangan Achmadin Blog

Persebaran Barang Tambang Di Indonesia Dan Proses Geomorfik

Persebaran Barang Tambang Di Indonesia Dan Proses Geomorfik

Apa Itu Bahan Tambang لم يسبق له مثيل الصور Tier3 Xyz

Apa Itu Bahan Tambang لم يسبق له مثيل الصور Tier3 Xyz

Agustus 2019 Sritina Blog

Agustus 2019 Sritina Blog

Sebaran Barang Tambang Di Indonesia

Sebaran Barang Tambang Di Indonesia

Rangkuman Geografi Persebaran Barang Tambang Di Indonesia Wattpad

Rangkuman Geografi Persebaran Barang Tambang Di Indonesia Wattpad

Silabus 2013 Geo Sma 11

Silabus 2013 Geo Sma 11

Soal Un Persebaran Sumber Daya Alam Geograpik

Soal Un Persebaran Sumber Daya Alam Geograpik

Http Ppg Spada Ristekdikti Go Id Master Pluginfile Php 21131 Mod Resource Content 1 Mp 2020 20 20sebaran 20sumberdaya 20alam Pdf

Http Ppg Spada Ristekdikti Go Id Master Pluginfile Php 21131 Mod Resource Content 1 Mp 2020 20 20sebaran 20sumberdaya 20alam Pdf

Sda Di Indonesia

Sda Di Indonesia

Persebaran Barang Tambang Di Indonesia Ppt Download

Persebaran Barang Tambang Di Indonesia Ppt Download

Contoh Hasil Persebaran Pertambangan Indonesia Berikut Ini Docx

Contoh Hasil Persebaran Pertambangan Indonesia Berikut Ini Docx

Source : pinterest.com